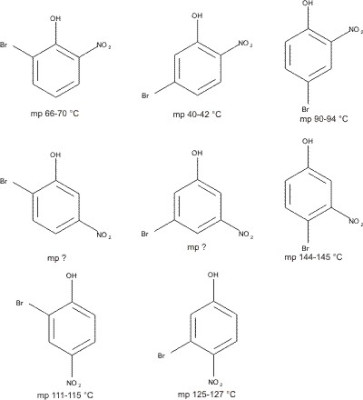
Isomere des Brom-nitro-phenols

chemische Formeln
Quelle: Verzeichnis technischer Produkte